ARTICLE INTEGRATIVE REVIEW

BUILDING A MATRIX OF DIAGNOSES, OUTCOMES AND INTERVENTIONS TO SUPPORT THE NURSING PROCESS IN THE OPERATING ROOM: AN INTEGRATIVE REVIEW

CONSTRUÇÃO DE UMA MATRIZ DE DIAGNÓSTICOS, RESULTADOS E INTERVENÇÕES PARA SUBSIDIAR O PROCESSO DE ENFERMAGEM EM CENTRO CIRÚRGICO: REVISÃO INTEGRATIVA

CONSTRUCCIÓN DE UNA MATRIZ DE DIAGNÓSTICOS, RESULTADOS E INTERVENCIONES PARA SUBSIDIAR EL PROCESO DE ENFERMERÍA EN EL CENTRO QUIRÚRGICO: REVISIÓN INTEGRATIVA

https://doi.org/10.31011/reaid-2026-v.100-n.1-art.2508

 

1Mateus Dall Agnol

2William Campo Meschial

3Gloriana Frizon

4Edlamar Kátia Adamy

5Bernarda Cesira Cassaro

 

1Universidade do Estado de Santa Catarina, Chapecó, Brazil, Orcid: https://orcid.org/0000-0002-5765-6460

2Universidade do Estado de Santa Catarina, Chapecó, Brazil, Orcid: https://orcid.org/0000-0002-0678-6126 

3Universidade Comunitária da Região de Chapecó, Chapecó, Brazil, Orcid: https://orcid.org/0000-0002-6760-9465?lang=pt 

4Univerisdade do Estado de Santa Catarina, Chapecó, Brazil, Orcid: https://orcid.org/0000-0002-8490-0334

5Hospital Regional do Oeste, Chapecó, Brazil, Orcid: https://orcid.org/0000-0002-2028-5467

 

Corresponding Author

Mateus Dall Agnol

Rua Sete de Setembro, 77D, Centro - Chapecó – SC, Brazil. CEP: 89806-152. Contact: +55 (49) 9 9186-9507. E-mail: mateus.dallagnol2017@gmail.com

 

Submission: 04-03-2025

Approval: 22-01-2026

 

ABSTRACT

Objective: to build a matrix of nursing diagnoses, outcomes and interventions for the surgical center, based on an integrative literature review. Method: integrative literature review structured in six distinct stages: 1) identification of the theme and selection of the research question; 2) establishment of inclusion and exclusion criteria; 3) identification of the selected studies; 4) categorization of studies; 5) analysis and interpretation of the results; and 6) presentation of the synthesis of knowledge, covering the period from 2019 to 2024. The population, concept and context (PCC) framework and controlled descriptors crossed with Boolean operators strategies were used. Two independent researchers conducted the analysis to minimize bias. Results: the final sample of 11 articles identified 29 diagnoses, 12 outcomes and 19 interventions. There was a predominance of risk diagnoses (68.9%), highlighting the "risk of decreased perioperative body temperature" (00490) and the "risk of injury due to perioperative positioning" (00087). The findings were organized in an articulated matrix according to the NANDA-I (2024-2026), nursing outcomes classification (NOC), and nursing interventions classification (NIC) taxonomies. Conclusion: the matrix is an essential technological tool for patient safety and for the systematization of care in highly complex environments, strengthening professional autonomy and compliance with COFEN resolution no. 736/2024.

Keywords: Nursing Process; Standardizerd Nursing Terminology; Operating Room Nursing.

 

RESUMO

Objetivo: Construir uma matriz de Diagnósticos, Resultados e Intervenciones de Enfermagem para o Centro Cirúrgico, fundamentada em uma Revisão Integrativa da Literatura. Método: Revisão Integrativa da Literatura realizada estruturada em seis etapas distintas: 1) identificação do tema e seleção da questão de pesquisa; 2) estabelecimento de critérios de inclusão e exclusão; 3) identificação dos estudos selecionados; 4) categorização dos estudos; 5) análise e interpretação dos resultados; e 6) apresentação da síntese do conhecimento, abrangendo o período de 2019 a 2024. Utilizou-se a estratégia População, Conceito e Contexto (PCC) e descritores controlados cruzados com operadores booleanos. A análise foi realizada por dois pesquisadores independentes para minimizar vieses. Resultados: A amostra final de 11 artigos permitiu a identificação de 29 diagnósticos, 12 resultados e 19 intervenções. Houve predominância de diagnósticos de risco (68,9%), destacando-se o "Risco de temperatura corporal perioperatória diminuída" (00490) e o "Risco de lesão por posicionamento perioperatório" (00087). Os achados foram organizados em uma matriz articulada conforme as taxonomias NANDA-I (2024-2026), Nursing Outcomes Classification (NOC) e Nursing Interventions Classification (NIC). Conclusão: A matriz constitui uma ferramenta tecnológica essencial para a segurança do paciente e para a sistematização do cuidado em ambientes de alta complexidade, fortalecendo a autonomia profissional e o cumprimento da Resolução COFEN nº 736/2024.

Palavras-chave: Processo de Enfermagem; Terminologia Padronizada em Enfermagem; Enfermagem de Centro Cirúrgico.

 

ABSTRACT

Objective: to build a matrix of nursing diagnoses, outcomes and interventions for the surgical center, based on an integrative literature review. Method: integrative literature review structured in six distinct stages: 1) identification of the theme and selection of the research question; 2) establishment of inclusion and exclusion criteria; 3) identification of the selected studies; 4) categorization of studies; 5) analysis and interpretation of the results; and 6) presentation of the synthesis of knowledge, covering the period from 2019 to 2024. The population, concept and context (PCC) framework and controlled descriptors crossed with Boolean operators strategies were used. Two independent researchers conducted the analysis to minimize bias. Results: the final sample of 11 articles identified 29 diagnoses, 12 outcomes and 19 interventions. There was a predominance of risk diagnoses (68.9%), highlighting the "risk of decreased perioperative body temperature" (00490) and the "risk of injury due to perioperative positioning" (00087). The findings were organized in an articulated matrix according to the NANDA-I (2024-2026), nursing outcomes classification (NOC), and nursing interventions classification (NIC) taxonomies. Conclusion: the matrix is an essential technological tool for patient safety and for the systematization of care in highly complex environments, strengthening professional autonomy and compliance with COFEN resolution no. 736/2024.

Keywords: Nursing Process; Standardizerd Nursing Terminology; Operating Room Nursing.

 

RESUMEN

Objetivo: Construir una matriz de Diagnósticos, Resultados e Intervenciones de Enfermería para el Centro Quirúrgico, fundamentada en una Revisión Integrativa de la Literatura. Método: Revisión integrativa de la literatura estructurada en seis etapas distintas: 1) identificación del tema y selección de la pregunta de investigación; 2) establecimiento de criterios de inclusión y exclusión; 3) identificación de los estudios seleccionados; 4) categorización de los estudios; 5) análisis e interpretación de los resultados; y 6) presentación de la síntesis del conocimiento, que abarca el periodo de 2019 a 2024. Se utilizó la estrategia Población, Concepto y Contexto (PCC) y descriptores controlados cruzados con operadores booleanos. El análisis fue realizado por dos investigadores independientes para minimizar sesgos. Resultados: La muestra final de 11 artículos permitió la identificación de 29 diagnósticos, 12 resultados y 19 intervenciones. Hubo predominio de diagnósticos de riesgo (68,9%), destacándose el "Riesgo de hipotermia perioperatoria" (00490) y el "Riesgo de lesión por posicionamiento perioperatorio" (00087). Los hallazgos se organizaron en una matriz articulada conforme a las taxonomías NANDA-International (NANDA-I) (2024-2026), Nursing Outcomes Classification (NOC) y Nursing Interventions Classification (NIC). Conclusión: La matriz constituye una herramienta tecnológica esencial para la seguridad del paciente y para la sistematización del cuidado en ambientes de alta complejidad, fortaleciendo la autonomía profesional y el cumplimiento de la Resolución COFEN nº 736/2024.

Palabras clave: Processo de Enfermería; Terminología Normalizada de Enfermería; Enfermería de Quirófano.

 

INTRODUCTION

Despite the evolution of surgical treatment technologies intended for reducing deaths, disabilities or pain, the risks related to patient safety are still a challenge. Often, the only form of treatment for health problems is surgical intervention and, as a result, numerous complications accompany the perioperative process1.

Perioperative nursing encompasses nursing care in the preoperative, intraoperative and postoperative periods. Mediated by the nursing process (NP), this help aims to provide systematic, safe, and high-quality care, with a focus on the prevention of adverse events sensitive to nursing, in a comprehensive, individualized, continuous, and properly documented manner2.

Given the role of nursing at different levels of health care complexity, the NP is the normative methodology to support nursing care. It should be based on theoretical-scientific support, which are theories and models of care, in addition to standardized nursing languages (SNLs), which qualify the nursing care3.

Currently, the creation of a matrix of nursing diagnoses, outcomes and interventions specific to the surgical center, based on standardized taxonomies, is essential to qualify and systematize the NP in this environment. However, there is a lack of scientific production that synthesizes and organizes these elements in an articulated manner for the perioperative scenario, hindering the practical applicability of taxonomies such as NANDA international (NANDA-I), nursing interventions classification (NIC) and nursing outcomes classification (NOC) in this highly complex sector. These resources allow for the organization of care in a structured and precise way, facilitating the identification of priority diagnoses and the necessary interventions for each case, in addition to promoting a standardized language4.

There is a great technological advance in computerized registration systems, ensuring that the patient has an electronic medical record. Nurses perceive the positive impacts of the use of this technology and, therefore, seek strategies for the implementation of the NP in health services, since it is regulated by the Resolution of the Federal Council of Nursing (COFEN) No. 736/20243,5. However, the effectiveness of these systems depends on secure, validated, and organized content that supports clinical decision-making in the operating room.

Considering the need to support nursing records and optimize perioperative care, this study is justified by the search for evidence to support clinical practice. Therefore, the objective of the study is to build a matrix of nursing diagnoses, outcomes and interventions for the surgical center, based on an integrative literature review.

 

METHOD

This is an integrative literature review (ILR), developed according to the methodological approach of Mendes, Silveira and Galvão6, adopting the recommendations of the PRISMA guideline (preferred reporting items for systematic reviews and meta-analyses)7. This method allows the synthesis of the state of knowledge of a specific phenomenon, integrating evidence into clinical practice. The methodological approach was structured in six distinct stages: identification of the theme and selection of the research question, establishment of inclusion and exclusion criteria, identification of the selected studies, categorization of the studies, analysis and interpretation of results, and presentation of the synthesis of knowledge6.

For the formulation of theme and research question, the PCC (population, concept and context) strategy was adopted8, in which p) Patients in perioperative nursing care; c) nursing diagnoses, outcomes and interventions (NANDA-I, NIC and NOC taxonomies); c) surgical center unit. Based on this structure, the following guiding question was defined: "What is the scientific evidence available in literature on nursing diagnoses, outcomes and interventions to support a matrix of care in the operating room?".

The search was done in the Academical® application with access to the virtual health library (VHL), covering the Latin-American and Caribbean literature in health sciences (LILACS) and nursing database (BDENF) databases. The following health sciences descriptors (DeCS/MeSH) were used: "operating room nursing", "perioperative nursing", "nursing process", "nursing diagnosis" and "standardized nursing terminology", combined with the Boolean operators AND (intersection) and OR (addition) to refine the crossing: ("operating room nursing" OR "perioperative nursing") AND ("nursing process" OR "nursing diagnosis") AND "standardized nursing terminology".

The collection period included articles published between January 2019 and September 2024. For the eligibility of studies, the following inclusion criteria were used: original articles, available in full, in Portuguese, English and Spanish, published in the last five years. Duplicate studies, review articles, editorials, book chapters, guidelines, other texts that did not fit the theme of the study and studies that did not use the NANDA-I, NIC and NOC taxonomies were excluded. In order to minimize selection bias and ensure methodological rigor, the studies were filtered independently by two researchers, through exhaustive reading of titles and abstracts, followed by full reading to confirm eligibility.

 

RESULTS

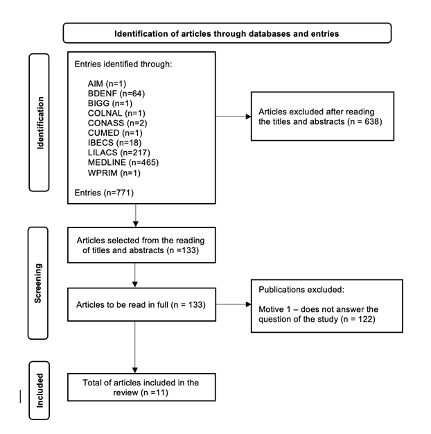
The study selection process was systematized using the PRISMA 2020 Flowchart (Preferred Reporting Items for Systematic Reviews and Meta-Analyses)7. The initial search resulted in 771 articles distributed in the MEDLINE (465), LILACS (217), BDENF (64), IBECS (18) and other VHL databases (7). After screening by title and abstract, 133 studies were selected for full analysis. Out of these, 122 were excluded because they did not meet the eligibility criteria, resulting in a final sample of 11 articles for the creation of the matrix, as shown in Figure 1.

Figure 1 - Flowchart of the selection of articles for the integrative review, based on the PRISMA recommendation, 2019-2024.

            Source: Moher et al. (2009)7, adapted.

 

The results were initially categorized, using the structure of the NP and PFS as an analytical framework. This methodological option allowed for the organization of the findings into axes that integrate clinical judgment (Diagnoses), therapeutic goals (Results) and care actions (Interventions).

Regarding the profile of the selected studies, it can be observed that 100% (n=11) are of Brazilian origin, with a predominance of publications in the years 2021 to 2023 (81.6%). Regarding the research scenario, 81.8% (n=9) were conducted in Brazilian hospitals, with emphasis on the work published by the journal of the Brazilian association of surgical center, anesthetic recovery, and material and sterilization center nurses (SOBECC).

A total of 29 diagnostic titles were identified, with "Risk of decreased perioperative body temperature" (00490), "Risk of injury due to perioperative positioning" (00087), "Risk of impaired surgical recovery" (00464), "Risk of surgical wound infection" (00500) and "Risk of aspiration" (00039) being the predominant nursing diagnoses (ND) in literature, belonging mostly to the "Safety and protection" domain and "Physical injury" category.

With the new update of NANDA-I version 2024-2026, some diagnoses, previously present in the 2021-2023 version, have been reviewed and others excluded by experts in the field, leading to many changes in the current version. It is justified that some terms were outdated; the lack of related factors was identified; incorporation of terms in other diagnostic titles and; diagnoses that do not meet the definition of ND. Thus, the search for the diagnostic code and adaptation to the current version was done9.

Out of these 29 Diagnoses, the priorities for implementation in the Surgical Center were selected based on the prevalence of the scientific literature and the needs of the Surgical Center in question. Thus, the final sample consisted of 20 diagnoses, as shown in table 1.

 

Table 1 - Priority nursing diagnoses identified by the integrative literature review.

Nursing diagnoses updated to NANDA-I version 2024-2026

Domains and categories

Articles

Risk of decreased perioperative body temperature (00490)

Domain 11 – Safety/Security

Category 6 - Thermoregulation

A1, A8, A9, A11, A5, A6

Risk of injury from perioperative positioning (00087)

Domain 11 – Safety/Security

Category 2 – Physical injury

A1, A4, A8, A11

Risk of impaired surgical recovery (00464)

Domain 4 – Activity/rest

Category 3 – Energy Balance

A3, A10, A11, A8

Risk of surgical wound infection (00500)

Domain 11 – Safety/Security

Category 1 - Infection

A11, A1, A8

Risk of aspiration (00039)

Domain 11 – Safety/Security

Category 2 – Physical injury

A1, A8, A11

Impaired tissue integrity (00044)

Domain 11 – Safety and Security

Category 2 – Physical injury

A1, A11

Ineffective breathing pattern (00032)

Domain 4 – Activity/rest

Category 4 – Cardiovascular/pulmonary responses

A10, A11

Risk of infection (00004)

Domain 11 – Safety/Security

Category 1 - Infection

A8, A1

Risk of allergic reaction (00217)

Domain 11 – Safety/Security

Category 5 - Defensive Processes

A8, A11

Risk of allergic reaction to latex (00042)

Domain 11 – Safety/Security

Category 5 – Defensive Processes

A8, A1

Risk of thrombosis (00291)

Domain 11 – Safety/Security

Category 2 – Physical injury

A1, A11

Excessive anxiety (00400)

Domain 9 – Coping/tolerance

Category 2 – Coping responses

A10

Impaired verbal communication (00051)

Domain 5 – Perception/cognition

Category 5 - Communication

A8

Acute pain (00132)

Domain 12 – Comfort

Category 1 – Physical comfort

A10

Impaired urinary elimination (00016)

Domain 3 – Elimination and exchange

Category 1 – Urinary function

A11

Impaired surgical recovery (00465)

Domain 4 – Activity/rest

Category 3 – Energy Balance

A3

Risk of shock (00205)

Domain 11 – Safety/Security

Category 2 – Physical injury

A8

Risk of decreased cardiac output (00240)

Domain 4 – Activity/rest

Category 4 – Cardiovascular/pulmonary responses

A11

Risk of eye dryness (00219)

Domain 11 – Safety/Security

Category 2 – Physical injury

A2

Risk of excessive bleeding (00374)

Domain 11 – Safety/Security

Category 2 – Physical injury

A11

Source: Prepared by the authors, 2024.

In addition to the NDs, the ILR also resulted in a sample of 12 Expected Results, from articles A8 and A10, predominantly included in the "Physiological health – (II)" domain and the "Cardiopulmonary – (E)" category (Table 2). As for Nursing Interventions, 19 titles of interventions composed from the scientific literature, articles A8, A10, A6 and A9, mostly from the domain "2 – Physiological: complex", category "J – Perioperative care" (Table 3).

Table 2 - Nursing outcomes identified by the integrative literature review.

Nursing Outcomes

Domains and Categories

Articles

Anxiety Level (1211)

Domain - Psychosocial health (III)

A10

Category - Psychological wellbeing (M)

Communication (0902)

Domain - Physiological health (II)

A8

Category - Neurocognitive (J)

Pain management (1605)

Domain - Health and behavior knowledge (IV)

A10

Category - Health behavior (Q)

Nutritional status: biochemical indicators (1005)

Domain - Physiological health (II)

A10

Category - Digestion and nutrition (K)

Nutritional status: food and fluid intake (1008)

Domain - Physiological health (II)

A10

Category - Digestion and nutrition (K)

Respiratory status: gas exchange (0402)

Domain - Physiological health (II)

A10

Category - Cardiopulmonary (E)

Respiratory status: unobstructed airway (0410)

Domain - Physiological health (II)

A10

Category - Cardiopulmonary (E)

Severity of blood loss (0413)

Domain - Physiological health (II)

A8

Category - Cardiopulmonary (E)

Risk control: infectious process (1924)

Domain - Health and behavior knowledge (IV)

A8

Category - Risk control (T)

Pre-procedure preparation (1921)

Domain - Health and behavior knowledge (IV)

A8

Category - Safety (HH)

Allergic response: systemic (0706)

Domain - Physiological health (II)

A8

Category - Immune response (H)

Surgical recovery: immediate postoperative (2305)

Domain - Physiological health (II)

A10

Category - Therapeutic response (AA)

Source: Prepared by the authors, 2024.

 

Table 3 - Nursing interventions identified by the integrative literature review.

Nursing interventions

Domains and categories

Articles

Allergy control (6410)

Domain 2 - Physiological - Complex

A8

Category J - Perioperative care

Pain management: acute (1410)

Domain 1 - Physiological: basic

A10

Category E - Promotion of physical comfort

Hypoglycemia control (2130)

Domain 2 - Physiological - Complex

A10

Category G - Electrolytic and acid-base control

Infection control (6540)

Domain 4 - Security

A8

Category V - Risk control

Infection control: intraoperative (6545)

Domain 2 - Physiological - Complex

A8

Category J - Perioperative Care

Admission care (7310)

Domain 6 - Health systems

A8

Category Z - Mediation of health systems

Post-anesthesia care (2870)

Domain 2 - Physiological - Complex

A8

Category J - Perioperative care

Patient ID (6574)

Domain 4 - Security

A8

Category V - Risk control

Vital signs monitoring (6680)

Domain 4 - Security

A9

Category V - Risk control

Nutrition tracker (1160)

Domain 1 - Physiological: basic

A10

Category D - Nutritional support

Respiratory monitoring (3350)

Domain 2 - Physiological - Complex

A10

Category K - Respiratory control

Positioning: intraoperative (0842)

Domain 2 - Physiological - Complex

A8

Category J - Perioperative care

Surgical precautions (2920)

Domain 2 - Physiological - Complex

A8

Category J - Perioperative care

Aspiration precautions (3200)

Domain 2 - Physiological - Complex

A8

Category K - Respiratory control

Bleeding precautions (4010)

Domain 2 - Physiological - Complex

A8

Category N - Control of tissue perfusion

Surgical preparation (2930)

Domain 2 - Physiological - Complex

A8

Category J - Perioperative care

Perioperative temperature regulation (3902)

Domain 2 - Physiological - Complex

A6, A8, A9

Category J - Perioperative care

Calming technique (5880)

Domain 3 - Behavioral

A10

Category T - Promotion of psychological comfort

 Hypothermia treatment (3800)

Domain 2 - Physiological - Complex

A6, A9

Category M - Thermoregulation

Source: Prepared by the authors, 2024.

 

DISCUSSION

The main finding of this study lies in the identification of a care matrix predominantly focused on patient safety during the perioperative period, evidenced by the fact that 68.9% of the NDs identified were at "risk". This characteristic reflects the nature of nursing in the operating room, where the fundamental role of the nurse is the surveillance and anticipation of illnesses to prevent avoidable complications in a highly complex environment.

Among the risks identified, the "Risk of decreased perioperative body temperature" (00490) stood out as the most prevalent diagnosis in the literature analyzed. Hypothermia is internationally recognized as one of the most common and harmful complications, affecting coagulation and increasing the incidence of surgical site infections10,11. Literature reinforces that temperature control is an autonomous responsibility of nurses, who must implement active heating measures to maintain core temperature above 36°C, according to the NANDA-I9 criteria.

Additionally, the "Risk of injury due to perioperative positioning" (00087) emerged as a critical point of attention. Literature indicates that intrinsic factors (comorbidities and age) and extrinsic factors (surgery time and support surfaces) increase susceptibility to pressure injuries and nerve damage12. To mitigate this risk, the use of validated tools, such as the Pressure injury scale in operative positioning (ELPO), is recommended to support the nurse's clinical judgment and ensure that positioning interventions are accurate and individualized12.

The articulation of these diagnoses with the identified Outcomes (NOC) and Interventions (NIC), such as "Surgical recovery: immediate postoperative period" (2305) and care in category "J - Perioperative care", demonstrates the importance of standardized language. The use of these taxonomies not only organizes care but also gives visibility to the contribution of nursing to the clinical outcomes of surgical patients, aligning Brazilian practice with global NP trends.

As a relevant limitation, the exclusive use of articles from the VHL database stands out. Although the VHL gathers fundamental bases for Latin-American nursing, this excerpt may not represent the totality of the global literature. Such sources could offer complementary perspectives on the implementation of standardized terminologies in different healthcare systems.

 

FINAL CONSIDERATIONS

The construction of this Nursing Diagnoses, Outcomes and Interventions for the Surgical Center Matrix demonstrates that terminological standardization is a strategic resource for patient safety and autonomy of perioperative nurses. The predominance of risk diagnoses reaffirms the preventive nature of care in this scenario, highlighting the importance of clinical surveillance and anticipation of diseases as pillars of qualified care.

The articulated use of NANDA-I, NIC, and NOC taxonomies provides a logical structure that transcends mere documentation, serving as a subsidy for evidence-based decision-making and the elaboration of assertive clinical protocols. In addition, updating the terms for the 2024-2026 version of NANDA-I ensures that the proposed care is aligned with the latest scientific guidelines, promoting uniformity of language across teams.

It can be concluded that the systematization of care in highly complex environments, such as the operating room, is essential to reduce complications and optimize patient recovery. The contributions of this study lie in the offer of a practical instrument that can be integrated with electronic medical records, favoring the visibility of nursing actions and the strengthening of the nursing process in accordance with current normative requirements.

 

REFERENCES

1. Ribeiro B, Souza JSM. A segurança do paciente no centro cirúrgico: papel da equipe de enfermagem. Semina Cienc Biol Saude. 2022;43(1):27-38. Doi: 10.5433/1679-0367.2022v43n1p27.

2. Danski MTR, Silva CM, Cunha MGB. Assistência perioperatória de enfermagem voltada à segurança do paciente cirúrgico: uma revisão integrativa. Rev SOBECC [Internet]. 2023 [citado em 2023 Out 05];28:e878. Disponível em: https://revista.sobecc.org.br/sobecc/article/view/878

3. Conselho Federal de Enfermagem (BR). Resolução n° 736 do Conselho Federal de Enfermagem, de 17 de janeiro de 2024. Dispõe sobre a implementação do Processo de Enfermagem em todo contexto socioambiental onde ocorre o cuidado de enfermagem [Internet]. Brasília-DF: COFEN; 2024. [acesso 2024 Out 06]. Disponível em: https://www.cofen.gov.br/resolucao-cofen-no-736-de-17-de-janeiro-de-2024/

4. Lepak SG, Herdman TH. Diagnóstico de Enfermagem: uma terminologia internacional. In: Herdman TH, Kamitsuru S, Lopes CT (org.). Diagnósticos de Enfermagem: definições e classificação. 12ª ed. Porto Alegre: Artmed; 2021. Cap. 6. p. 92-108.

5. Fritzen A et al. Implementação dos diagnósticos de enfermagem do transoperatório e pós-operatório imediato no sistema de gestão informatizado. Rev Esc Enfermagem da Usp [Internet]. 2023 [acesso 2024 Out 12] 57(1): 1-9. Disponível em: https://www.scielo.br/j/reeusp/a/MkB93zX6PKpH79kbCM7T3hK/?format=pdf&lang=pt

6. Mendes KDS, Silveira RCCP, Galvão CM. Revisão integrativa: método de pesquisa para a incorporação de evidências na saúde e na enfermagem. Texto Contexto Enferm. 2008;17(4):758-64. Doi: https://doi.org/10.1590/S0104-07072008000400018

7. Moher D, Liberati A, Tetzlaff J, Altman DG, The PRISMA Group. Preferred Reporting Items for Systematic Reviews and Meta-Analyses: The PRISMA Statement. PLoSMed [Internet]. 2009;6(7):e1000097. Doi: https://doi.org/10.1371/journal.pmed1000097.

 

8. Peters MDJ, Godfrey C, McInerney P, Munn Z, Tricco AC, Khalil H. Chapter 11: Scoping reviews. In: Aromataris E, Munn Z, editors. JBI Manual for Evidence Synthesis. Adelaide: JBI; 2020. Doi: 10.11124/JBIES-20-00167. Available from: https://synthesismanual.jbi.global.

9. Herdman TH, Kamitsuru S, Lopes CT. Diagnósticos de Enfermagem NANDA-I: definições e classificação 2024-2026. 13ª ed. Porto Alegre: Artmed; 2024.

10. Oliveira RF, Lima IP, Gabiatti D, Nascimento ASM, Fuganti CCT. Desenvolvimento de protocolo clínico assistencial para prevenção e tratamento da hipotermia perioperatória. Reme-Rev Mineira Enfermagem [Internet]. 2022. [acesso 2024 Out 13]. 26(1): 1-9. Disponível em: https://www.revenf.bvs.br/pdf/reme/v26/1415-2762-reme-26-e-1453.pdf

11. Almeida TEFA, Alves ÉL, Araújo APA, Lordelo DS, Silva FJCP, Andrade JS. Clinical characterization and cross-mapping of the nursing interventions for hypothermia in the intraoperative period. Texto Contexto Enferma [Internet]. 2021 [acesso 2024 out 13]. 1(1): 1-14. Disponível em: https://www.scielo.br/j/tce/a/3JbbLYT6vhgswfwSrSSCkkd/?format=pdf&lang=pt

12. Lopes CMM, Haas VJ, Dantas RAS, Oliveira CG, Galvão CM. Assessment scale of risk for surgical positioning injuries. Rev Latino-Americana de Enfermagem [Internet]. 2016 [acesso 2024 Out 13]. 30:e20200463. Doi: https://doi.org/10.1590/1980-265X-TCE-2020-0463. Disponível em: https://www.scielo.br/j/rlae/a/f9gwZMD7VZ9jVCXGVpTfc9C/?format=pdf&lang=pt

Funding and Acknowledgments:

This research received no funding.

Authorship Criteria

Mateus Dall Agnol, William Campo Meschial, Gloriana Frizon: Contributed substantially to the conception and/or planning of the study, as well as to the writing and/or critical review and final approval of the published version.

Edlamar Kátia Adamy, Bernarda Cesira Cassaro: Contributed to the acquisition, analysis, and/or interpretation of the data.

Data Availability Statement

No databases were generated in this study. The information presented is described in the body of the article.

Conflict of Interest Statement

Nothing to declare.

Scientific Editor: Ítalo Arão Pereira Ribeiro. Orcid: https://orcid.org/0000-0003-0778-1447

Rev Enferm Atual In Derme 2026;100(1): e026034